恒温恒湿试验箱制冷系统压缩机压力的测量
一、压力的概念
物理学中,把单位面积上所承受的垂直作用力称为压强,在制冷、冷冻设备工程中就称为压力。气体的压力是大量气体分子热运动时对壁面撞击的结果。工程上压力常以符号P表丁。
地球表面的空气层在单位面积上所形成的压力称为大气压力,简称大气压。大气压用
符号B表示,大气压随地理位置、海拔高度及气候条件的不同而有所变化,海拔高的地区
大气压力小,同一地区冬天平均大气压较夏天大;即使是同一地区的同一天,由于天气的
变化,大气压力也有微小的变化。
在国际单位中,力的单位是牛顿(N),面积的单位用平方米(m2),压力的单位是帕斯卡,简称帕,即牛顿/米‘。用符号Pa表示为:
在制冷技术中,有时Pa太小,我们还经常采用兆帕(MPa)单位。
二、压力的种类
在实际应用中,压力有表压力和压力之分。
由于测量和计算的需要,在工程上气体的压力有压力、表压力和真空度之分。各
种压力间的关系如图1、3所示。压力是指客器内的气体或液体对于客器内壁的实际压
力,用符号P本友示。而气体的压力大小常用具有弹簧管式的压力表来测量。具有弹性的弯管(弹簧管)顶端焊死,另一端固定在压力表表壳的接头上。弹簧管外为当地大气压力B管内接被测压力的制冷剂气体。当管内外有压力差时,弹簧管会产生伸直或弯曲的变形,
其被焊死的顶端一自由端产生位移,并借助杠杆系统带动指针偏转,在压力表表面的压力
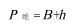
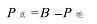
刻度盘上指示出压力的读数,这个读数就是表压力,表压力用符号P,来表示。表压力是指压力与当地大气压力之差,它们之间有如下关系式:
由此可见,压力表上的读数即为表压力的大小。在工程上常用表压力,但在制冷工程
的算上必须采用压力。
当密闭容器中气体压力(压力)低于大气压力时,大气压力与客器内气体压力之
差即称为真空度,用符号P真 表示它们之间有如下关系式:
由上式可知,密闭客器中真空度P.越大,则其内压力P绝 越小。在工程上,用
于测量高于大气压力的压力仪表称为压力表,用于测量低于大气压力的压力仪表称为真空

表。如图
lA所示压力表既可测量高于大气压的压力大小,又可以
测量低于大气压力的真空度大小,这种压力表叫做连程压力表,也
可以称为真空压力表。
用U形压力计测量系统压力的方法如下:当U形管两边接口均
与大气相通时,两端液体受当地大气压力的作用,液柱高度相等。
若将管的右端与受压缩气体的密闭客器相连时,右端的液柱向
左压,两端形成液位差,如图1、耳所示。容器内压力越大,则
液位差矗越高,矗表示容器内压力大于大气压B的数值,这个差值
矗就是表压力。
如果客器内压力小于大气压力,在大气压B的作用下,左端的液柱向右压,客器
内压力越小,两端的液位差矗越大,矗就是真空度。
三、压力的测量
用来测量气体或液体压力的工业自动化仪表,又称压力表或压力计。压力表可以指示、
记录压力值并可附加报警或控制装置。仪表所测压力包括压力、大气压力、正压力(习
惯上称表压)、负压(习惯上称真空)和差压。工程技术上所测量的多为表压。压力的国际单位为帕(Pa)。压力的其他单位(非法定计量单位)还有:千克力/平方厘米(屹优土)、巴(bar)、毫米水柱(mmH刃)、毫米汞柱ho)(即托)等。
压力是工业生产中的重要参数。如高压客器的压力超过额定值时便是不安全的,必须
进行测量和控制。在某些工业生产过程中,压力不仅直接影响产品的质量和生产效率,如
生产合成氨时,氮和氢不仅需在一定的压力下合成,而且压力的大小直接影响产量的高低。
此外,在一定的条件下,测量压力还可以间接得出温度、流量和液位等参数。
1.简史
1643年,意大利人且托里拆利首先测定标准的大气压力值为760mmH刃,奠定了液
柱式压力测量仪表的基础。1847年,法国人且波登制成的波登管压力表,由于结构简单、
实用,很快在工业中获得广泛应用,一直是常用的压力测量仪表。20世纪上半叶出现远传
压力表和电接点压力表,从而解决压力测量值的远距离传送和压力的报警、控制问题。20
世纪60年代以后,为适应工业控制、航空工业和医学测试等方面的要求,压力测量仪表日
益向体积轻巧、耐高温、耐冲击、耐振动和数字显示等方向发展。
2.分类
压力测量仪表按工作原理分为液柱式、弹性式、弹簧管压力表、负荷式和电测式等类
型。
(1)液柱式压力测量仪表
液柱式压力测量仪表常称为液柱式压力计。它是以一定高度的液柱所产生的压力与被
测压力相平衡的原理测量压力的。多数是一根直的或弯成U形的玻璃管,其中充以工作液
体。常见的有单管压力计、U形压力计。常用的工作液体为蒸馏水、水银和酒精。因玻璃
管强度不高并受读数限制,所测压力一般不超过0.3MPa。它的特点是灵敏度高。液柱式压力计主要用作实验室中的低压基准仪表,以校验工作用压力测量仪表。由于工作液体的重度在环境温度、重力加速度改变时会发生变化,对测量的结果常需要进行温度和重力加速度等方面的修正。
(2)弹性式压力测量仪表
弹性式压力测量仪表是利用各种不同形状的弹性元件在压力下产生变形的原理制成的
压力测量仪表。按采用的弹性元件不同分为弹簧管压力表、膜片压力表、膜盒压力表和波
纹管压力表等;按功能不同分为指示式压力表、电接点压力表和远传压力表等。这类仪表
的特点是结构简单,结实耐用,测量范围宽(-0.1~1500MPa人是压力测量仪表中应用最多的一种。
(3)弹簧管压力表
弹簧管压力表又称为波登管压力表,如图1、5所示。压力表中的弹簧的自由端是封闭
的,它通过拉杆带动扇形齿轮转动。测压时,弹簧管在被测压力作用下产生变形,因而弹
簧管自由端产生位移,位移量与被测压力的大小成正比,使指针偏转,在度盘上指示出压
力值。如果表壳内通有大气,压力表测出的压力为正压或负压;如果将表壳密封并油成真
空,压力表测出的压力就是压力。弹簧管压力表带有隔离装置时,尚可测量温度较高
或具有腐蚀性、勃稠状、易结晶和粉尘状介质的压力。在度较高(如0.25级以上)的
弹性式压力测量仪表中,弹性元件多用恒弹性合金甚至石英玻璃制成。传动机构的轴孔中
镶嵌宝石轴承或滚动轴承。度盘标尺长,有的还能进行数字显示。
(4)负荷式压力测量仪表
负荷式压力测量仪表常称为负荷式压力计。它是直接按压力的定义制作的,常见的有
活塞式压力计、浮球式压力计和钟罩式压力计。
如图1、6所示为活塞式压力计的结构示意图。珐码和活塞系统的重力作用于工作介质
(油或气),产生的压力按帕斯卡原理(见流体静力学)传至压力计各处,其值等于珐码和活塞系统的重力除以活塞有效面积。调整珐码即可获得不同的压力值。由于活塞和珐码均可以加工和测量,这类压力计误差很小,主要作为压力基准仪表使用,测量范围从数十帕至2500MPa。提供的标准压力值为断续值,故操作较复杂。当活塞式压力计的度在0.05级以上时,则需要对测量结果进行修正。修正的内容有环境温度变化引起的活塞有效面积变化的影响、空气浮力的影响、活塞底部和被校仪表中心的高度差的影响等。压力高于25MPa时,尚须考虑高压时活塞杆变形造成的误差的修正。
(5)电测式压力测量仪表
这类仪表利用金属或半导体的物理特性直接将压力转换为电压、电流信号或频率信号
输出,或是通过电阻应变片等将弹性体的形变转换为电压、电流信号输出。代表性产品有
由压电式、压阻式、振频式、电客式和应变式等压力传感器所构成的电测式压力测量仪表。
度可达0.02级,测量范围从数十帕至700MPa不等。
如图1、7所示为压阻式压力传感器的原理示意图。它利用了半导体材料硅受压后电阻
率改变与所受压力有一定关系的原理。用集成电路工艺在单晶硅膜片的特定晶向上扩散一
组等值应变电阻,将电阻接成电桥形式。当压力发生变化时,单晶硅产生应变,应变使电
阻值发生与被测压力成比例的变化,电桥失去平衡,输出电压信号至显示仪表显示。